LIGHTNING PROTECTION IN ROCKET
DESIGN
Bruce C. Gabrielson
Aerojet Electrosystems
Azusa, California
ABSTRACT
Many rocket systems have been designed in past years, but with the increased application of composite materials, sensitive microprocessor memories, and susceptible IC's, lightning has become a dominant threat to any modern rocket, whether military or commercial related. This is especially true in light of the rise of commercial non-hardened rockets.
This paper will provide guidelines whereby systems designers can first evaluate the lightning threat to their program, and then follow the steps outlined to calculate the actual pin threat at interface ports for the circuit designer to use. Of equal importance are the references noted, as there are very few documents available directly related to lightning effects on rockets.
WHY WORRY ABOUT LIGHTNING?
A rocket and its payload are extremely expensive, and their loss as the result of a lightning strike is highly undesirable at the program office. Some factors, such as launch only under ideal weather conditions, can be controlled. However, even in perfect conditions, lightning protection and control is not assured (l)-(3). Further, overhead costs associated with long weather delays can be devastating. Therefore, to lessen the impact of weather uncertainties, some amount of protection is desirable.
The level of protection required depends on the probability of a strike as compared to other reliability calculations, and the percentage of strikes considered acceptable to protect against. Military programs have specific guidelines for acceptable reliability levels. However, commercial applications are generally cost oriented. Military programs have already determined the validity of the threat for their specific application, and have specified the level of protection desired. If no guidelines are provided, the following is recommended.
LIGHTNING STRIKE PROBABILITY
It is difficult, if not impossible to establish a probability for lightning strikes that one can have high confidence in. The literature and tests performed to establish probability are primarily oriented to a specific case, rather than the generalized case that is required (4).
The primary reason for doing a probability analysis is to determine whether themes a reasonable chance that lightning will hit the rocket, and if there are major costs associated with accommodating the potential lightning threat. Since the increased costs of protection varies with the type of rocket designed, the importance of a probability analysis depends on the individual project.
THUNDERSTORM DAYS
The parameter commonly used throughout the world for lightning information is the thunderstorm -day data tabulated by the World Meteorological Association. A thunderstorm-day is defined as a calendar day on which thunder is heard.
There are problems related to using thunderstorm-day data in all areas because it is possibly inaccurate for lightning predictions. Thunder is rarely heard at distances exceeding 25 km from the lightning channel, (5)-(7), and the average practical limit of audibility seems to be about 15 km. The problem, therefore, is that except for heavily populated areas, not many people have been around to hear the thunder. The BLM estimates that at some U.S. locations, actual thunderstorm-day values are 10 to 100 times higher than indicated (8) using thunderstorm-day data.
A second problem with thunderstorm-day data is that it contains no.information on the intensity or duration of a storm, or if one or several flashes occurred. A. S. Dennis (9) suggests that the average rate of flashing in a thunderstorm cell is about three per minute regardless of storm location A typical storm can be made up of several cells, and according to Cianos and Pierce (10), the average flashing rate may not change with more cells, only with storm duration. An active single cell storm lasts about one hour (11), with tropical storms lasting about three hours. A rough approximation of the flash incidence can be made if A is the storm area (radius between 30 km and 500 km) (12), D is the storm duration, and F is the average flashing rate. The flash density per unit area in a thunderstorm-day is DF/A.
FLASH DENSITY
Intercloud discharges and flashes to earth ground are primarily controlled by altitude, local topography, and by the separation of the individual charge centers. Pierce (13) has represented the latitudinal variation by:
where p is the proportion of discharges that go to ground, and lamda is the geographical latitude in degrees. Muhleisen (14) states that in middle latitudes, about the same number of discharges occur between clouds as there are flashes to ground.
Combining the equation for the average density of lightning to ground for any location gives:
![]()
Pn = (flash density x vulnerability area x exposure time)
EXPOSURE TIME
Exposure time is the period during which a rocket is vulnerable to the effects of a direct or nearby strike. Lightning can occur to 20km (65,000 ft). The probability of a nearby strike (Pn) affecting the rocket, based on thunderstorm days only can be estimated using the equation:
Pn = (flash density x vulnerability area x exposure time)
DIRECT LIGHTNING STRIKE PROBABILITY
Direct strike probabilities are difficult to determine. The surrounding terrain and physical orientation of the vehicle during a thunderstorm are key considerations. To make the problem manageable, an assumption is made that the rocket will always be hit by a strike when the opportunity exists. To further simplify the calculations, we assume the probability is then equal to the probability of a flash to ground over any surface area of approximately the same size as the largest cross sectional area of the rocket when vertically oriented. Uman (15) has looked at various studies of flashes to ground per square mile, but specific launch locations will require more precise values if a closer probability estimate is desired.
ROCKET TRIGGERED LIGHTNING
It would appear from the probability estimate above that the likelihood of strike to ground affecting a rocket is not large. However, the rocket does not stay on the ground, and cloud-to ground discharges also affect vehicle performance. Therefore, a closer look at the triggering process and how the probability calculation might be modified is necessary.
We can postulate rocket triggering by examining the effects of a relatively large, possibly highly charged, mass of metal passing almost vertically through a field of charged ice crystals and supercooled water droplets, leaving in its wake a turbulent exhaust of hot ionized gases and conductive, partially charged contaminants. Fitzgerald (16) determined that aircraft in an electrical environment can trigger lightning strikes, while other researchers (17) (18) have triggered strikes with rockets.
To generate a spark discharge, streamers must be generated from an electrode into the surrounding atmosphere, or toward a nearby concentration of charge. Clifford (19) pointed out that streamers, once initiated, will propagate in low field regions, and free charge in the exhaust added to the external field gradient might allow streamer propagation through the exhaust in low ambient fields. As noted by Shaeffer (20), this streamer is nearly identical in order of magnitude to the electron concentration of rocket exhaust. The rocket itself acts as an electrode of increasing potential as it increases in velocity and altitude.
When the charge density reaches a critical level, photoionization of the adjacent air in the direction of the applied field allows the charge volume to grow in that direction. The requirement for propagation is related to the ratio of field strength to pressure, E/P. This indicates that as the rocket climbs, the field strength required for triggering decreases. We can postulate that the rocket will eventually charge to a potential sufficient to create a streamer, and its exhaust will decrease the breakdown potential necessary for triggering to occur. The streamer would then provide a sufficient concentration of free electrons to act as a conductor and compress the external field. Nanevicz (21), and Griffiths (22), have examined charging and field effects.
Since triggering can occur in the presence of nonstormy clouds (23), we will further postulate that triggering of some magnitude will nearly always occur in cloudy or overcast conditions, or when the rocket is launched within a few kilometers of such conditions.
CORRECTED NEARBY STRIKE THREAT ESTIMATE
Having considered the previous section, the earlier probability evaluation can be modified for a more realistic assessment of the threat. The analysis presented suggests a triggered strike (cloud-to-cloud or cloud-to-ground) will probably involve the rocket whenever the conditions exist for an intercloud discharge within 10 km (approximately 2.5 KV/meter field strength (24)) of the craft. Noting the previous statement that the number of interclouds and cloud-to-ground strikes are about equal, and using data from the BLM to modify the thunderstorm day number, the following analysis is postulated.
To correct the thunderstorm day data and take into account intercloud effects, the value of the average flashing rate can be corrected as follows:
Tyl = 10 x Ty
F = (3 per min)(60 min per hr)(2)=360 = {3}
The correction still does not totally compensate for the triggering effect, but using intercloud discharges does help correct the deficiency. If an additional 5% of the total value is added to account for discharges which can be triggered on non-stormy days, the value of probability of a rocket encountering a lightning strike can be estimated conservatively.
USEFUL PARAMETER DETERMINATION
Once the probability of a strike has been determined, and a decision is made that protection is necessary, the next obvious question is how are the threat parameters determined and used. As is often the case, real lightning protection is not considered until after the major design thrust has been completed. Even then, often the threats are vague in their relationship to actual circuits. For examplethe external waveform of the lightning strike which attaches to the rocket is far removed from the shape and amplitude of the waveform that will be seen at a receiver input.
Many references are available (25)-(32) which postulate lightning waveforms for various percentages of critical parameters, so this subject will not be considered further here. What will be considered are the procedures necessary to calculate the interface pin threats from lightning current flow. Magnetic field threats are difficult to calculate and will not be considered here. Their determination is the subject of other literature (33)-(35).
MODEL DESCRIPTION
The following analysis is applicable to the case of a surface launched rocket of sufficient size to reach at least 30 km, the first 20 km of which are in the lightning susceptible region. However, the information presented is much more useful and applicable to spaceborn rockets.
The objective of this analysis is straight forward. The equations will be supplied or derived which will enable a designer to easily calculate the parameters necessary to. draw a vehicle equivalent circuit. These parameters are used when calculating vehicular oscillatory responses (36), and when determining current distribution for use in transfer impedance analysis.

Figure 1 - Rocket Ground Plane
The rocket considered here is composed of mostly graphite composite material. From the lightning threat viewpoint, all metal construction offers the best protection. However, since weight and cost are dominant design factors, composite material has found increased importance in its application. The worst case example considered will include a conductive nosecone, a conductive strip running the length of the rocket (the raceway), and various stage or other reference ground planes along the rocket structure. This condition is shown in Figure 1.
VEHICLE TRANSMISSION LINE MODEL
Using a structural design similar to Figure 1, the values of the reactive components of the rocket are determined by geometry. Regardless of rocket size, the structure can be modeled as a nonuniform transmission line consisting of a series of segments. Various researches have determined the surge impedance of a lightning flash is between 390 and 3,000 ohms (37)-(39), so this value should not be critical to the model. The burning rocket plasma is modeled as a conductive rod,but the exterior plume is not considered. The plume is conductive, but plume conductivity is insignificant compared to other values in this model. Self-inductances, L, and capacitances, C, for the burning plasma are determined assuming a surge impedance Zo as follows:
lamda is the length, and a is the equivalent radius of the object of interest. The values of L and C are then:
![]()
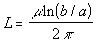
For the stand-alone geometry, the inductance of each individual section of the rocket can be estimated by the rough straight-wire formula:
![]()
where lamda is the length of the section in inches, and d is the diameter in inches. The inductance of a raceway section is obtained by averaging the inductance for a straight rectangular bar:
![]()
where lamda is the length of the section in inches, b is the width in inches, and c is the thickness in inches. Upon finding the inductance, the capitance of each section can be determined from:

where L is the inductance, t is the length of the section, and u is the speed of light.
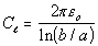
For the coaxial geometry, the capacitance and inductance per unit length are given by:
{11}
Where b is the radius of the outer return path conductor, and a is the radius of the rocket. The inductance and capacitance of the raceway are obtained by computing the inductance and capacitance of a round wire offset in a circular cylinder. The center of the wire is offset the radius of the rocket.
The effect of impedance discontinuities at the attachment points causes reflections resulting in a transient resonant response at times greater than or equal to 1.5 microseconds, following the lightning current waveform. The magnitude of the transient response is dependent on the zero-to-peak rise time. For rise times greater than 500 ns, the transient response becomes unimportant, and the rocket response could be specified as following the lightning current waveform.
CURRENT DISTRIBUTION APPROACH
Figure 2 is an equivalent circuit model of the rocket showing the cable and internal circuit between electronics boxes. Structural capacitance is neglected for this case since it is assumed that its effects are much less than inductive effects. Resistance is easily estimated from the type of material used. An equivalent impedance network is shown in Figure 3.

Figure 2 - Rocket Equivalent Circuit

Figure 3 - Equivalent Impedance Network
The object will be to determine the current flowing in the cable, branch Z5' For this analysis, the following conditions are assumed.
1. 50 ohm coaxial signal line
2. low impedance structural ground
3. a parabolic shaped nosecone with one box mounted in the middle of four structural spokes
4. pin voltage contribution from direct current flow is much greater then the contribution from H-field coupling
Since the loop of concern (mesh MI) is linear, and since the impedance of this loop is much less then the active circuit loops (M2 through M4), network analysis can be used directly to determine the current split in individual paths (cable braids or structure).
INNER SURFACE ENERGY
After the expected lightning waveform threat is Fourier Transformed, the percent of current diffusing to the inner surface of the nosecone skin following a lightning strike attachment on the nosecap (the highest probability of attachment (40), can be calculated from the following equation.
![]()
Skin effects account for the decrease in higher frequency components. The nosecone acts as a low pass filter. Figure 4 is a comparison of attenuation for various skin thicknesses and materials
Figure 4 - Attenuation Due to Skin Effects
CURRENT ESTIMATE
Current, both internal and external, will be constrained to flow to and along the conductive raceway, or along the cables between the various stages. For ease of calculation, assume one spoke of the ground reference structure is oriented at the raceway attachment location. It is extremely difficult, if not impossible, to predict without testing the precise path current will take inside the nosecone. Felske and Goulette (41) have looked at nosecone current mapping. However, for a conservative estimate, we can assume the spoke arrangement will carry the same current as a solid cover over the same location would carry. We can also predict that the time constraints are such that the diffused current on the inner surface of the nosecone and outer surface of the spokes is much greater then diffused current within the spoke arrangement. The surface areas can then be compared directly using 2/3 bh and pie r squared. A closer estimate would simply use the spoke surface area directly.
Once the worse case current available at the box is determined, the next step is to determine how much will use the raceway path, or how much will use the cable braid. Impedance for the cable is estimated using the same equations as previously used for rocket sections. Depending on physical dimensions, it is a simple matter to predict outer shield current (Ios) on the cable path parallel to the raceway. As indicated previously, straight current distribution is used for the resultant linear system.
PIN VOLTAGE CALCULATION
Having calculated the worse case current on the cable shield, transfer impedance techniques are used to determine the open circuit common mode voltage inside the inner shielded signal conductor. Transfer impedance is defined by Schelkunoff (42) and others as:
{13}
Using a well bonded, 360 ohm terminated shield on the outer cable backshell will provide a low resistance value (about .7 mohms) and negligible inductance. This type of connection lowers the impedance on an inner shield that the Thevenin source will see, thereby increasing the current on the shield. It also eliminates the differential coupling to the inner conductor caused by the inherent unequal magnetic field distribution resulting from pigtails. Inductance (L) is calculated using equation {12}, while resistance (R) per meter can be measured for the cable backshell combination. The current per meter flowing on the inner shield for a particular cable will then be:
{14}
in milliohms
- the transfer impedance of the overbraid depends on the number of layers
of shielding and the weaving parameters for each layer. Values are often
supplied by cable manufacturers, or they can be measured using RAMS tests.
Transfer impedance values for both the outer cable shield, and for the
inner conductor shield are required.
The total transfer function between current flowing on the outer shield, and the open circuit common mode voltage inside the inner shielded signal conductor can now be calculated as follows:
{15}
The Thevenin voltage source (pin driver), and the in-band frequency range of the receiving device, are used to specify the protection circuitry or filtering required at the input pin level.
CONCLUSIONS
The methods and 6quations presented in this paper should be sufficient for determining the pin level threat resulting from a lightning strike attachment to the rocket. In addition, a manageable approach for determining the lightning threat probability has been proposed. A review of the references cited, plus a review of Hart and Malone (43), are advisable prior to undertaking any major lightning protection program.
REFERENCES