К вопросу оценки ПЭМИН аналоговых сигналов CИ низкочастотный полей рассеяния.

Автор: Кондратьев А.В.

Во всех предыдущих рекомендациях, когда речь заходила об измерении напряжённости полей в низкочастотном диапазоне (звуковых частот) всегда утверждалось, что вопросы эти хорошо разработаны, вполне освещены в действующих методиках и потому специально не рассматривались. Из общения с коллегами, особенно молодого поколения, выясняется, что не всё столь радужно…

Посему вновь приходится вернуться к этому вопросу в том виде и объёме, который допустим в открытом материале.

Итак, измерения полей в НЧ диапазоне. Именно полей, поскольку в «ближней зоне», то есть на расстояниях порядка (0,1÷0,2)λ электрическая и магнитная компоненты поля (об этом уже писалось в самом начале цикла) существуют, практически, независимо друг от друга. Для частоты, например, 10 кГц длина волны составляет 30 км. Следовательно, всё ближе 3÷6 км – «ближняя зона», а уж наши обычные «единицы – десятки м» – тем более.

Поскольку чаще приходится иметь дело именно с магнитной, «Н» компонентой, то с неё и начнём. Измерения магнитной компоненты поля ведутся, почти без исключений, различными моделями рамочных антенн. Все они представляют собою один или несколько витков проводника (чаще всего – круглых, хотя есть несколько моделей и с квадратной рамкой), надёжно экранированных металлическим (обычно трубчатым) экраном с одним диэлектрическим зазором. Это обеспечивает хорошую экранировку от электрических компонент поля и, одновременно, не снижает чувствительности к полю магнитному.

Диаметр рамки у разных моделей сильно варьируется, от нескольких десятков мм до нескольких м. Общее правило, проистекающее из закона электромагнитной индукции (Майкл Фарадей, 1831 г.), заключается в том, что при прочих равных условиях ЭДС на выводах витка (при постоянной величине напряжённости магнитного поля) прямо пропорциональна площади витка, которая, в свою очередь, растёт пропорционально квадрату его радиуса.

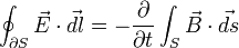
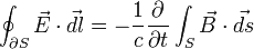
В дифференциальной форме закон Фарадея можно записать в следующем виде:

[f1.jpg]

(в системе СИ)

или

[f2.jpg]

(в системе СГС).

В интегральной форме (эквивалентной):

[f3.jpg]

или

[f4.jpg]

Где:

Eнапряжённость электрического поля,

Bмагнитная индукция,

S — произвольная поверхность,

δS — её граница. Контур интегрирования.δS подразумевается фиксированным (неподвижным, sis!).

То есть «действующая высота» антенны (условный коэффициент, имеющий размерность «м» (для электрической антенны, для магнитной - далее) и связывающий ЭДС на выходе антенны с напряжённостью поля в А/м и, Ка, «антенный коэффициент; Ка= В /(А/м) = м*Ом) будет тем лучше, чем больше площадь антенны (площадь витка).

Это одна сторона вопроса.

Но ведь любая «катушка», хотя бы и одновитковая – это индуктивность. Причём не идеализированная, а вполне реальная – следовательно с некоторой паразитной ёмкостью. Эта ёмкость складывается из «межвитковой» ёмкости, паразитной ёмкости экрана, разъёмов, кабеля и входной ёмкости того средства измерения, к которому подключена антенна. Причём эта ёмкость включена параллельно индуктивности. Что получаем? Правильно – параллельный колебательный контур. Значит, на некой частоте наступит неизбежный резонанс. А эта штука крайне неприятная, так как с одной стороны резонанс резко увеличивает чувствительность антенны. С другой делает её крайне частотозависимой и нестабильной из-за влияния на этот резонанс множества всяческих, плохо учитываемых, факторов.

Именно поэтому разработчики и изготовители рамочных антенн «рабочим» участком всегда считают область частот много ниже первого резонанса. Только там можно обеспечить стабильность характеристик на протяжении межповерочного периода.

По весьма схожим причинам (стабильность характеристик) весьма редко применяются антенны с ферритовыми сердечниками. Они весьма чувствительны к изменениям температуры, ударам и т.д.

Амплитудно-частотная характеристика (она же Ка) условной рамочной антенны приведена на рисунке 19.1

r-19-1.jpg

Таким образом, с учётом некоторых ограничений действующих НМД, мы должны пользоваться рамочными антеннами с диаметром витка (витков) от » 0,15 до 0,8 м, за исключением отдельных, специальных случаев. Меньше – недопустимо падает чувствительность. Больше – и неудобно пользоваться и рекомендации НМД «не пущають».

Итак, «рамки» разных «времён и народов», самые начальные сведения об имеющихся на рынке моделях приведены в части 5 этого цикла статей, где речь и шла об измерениях напряжённости поля (общие сведения).

Кроме вышеизложенного, следует знать, что рамочные антенны могут быть как «пассивными» (то есть просто виток, катушка), так и активными (со встроенным в конструктив предварительным широкополосным усилителем). Пассивные антенны имеют крайне низкие уровни собственных шумов, практически ничем не ограниченный динамический диапазон, но их чувствительность ограничена вышеприведённым выражением для электромагнитной индукции и шумами средства измерения. Зато их можно применять и как излучающие, необходимость чего встречается в практике исследований.

Активные антенны имеют динамический диапазон не более 120÷140 дБ, несколько большие шумы (ничего не поделаешь, все активные элементы «шумят»), но заметно большую чувствительность по полю (то есть меньшее значение Ка). Естественно, они необратимы и не могут применяться как излучающие.

Очень важной особенностью классической рамочной антенны является её направленность. КНД (коэффициент направленного действия, величина безразмерная) графически, в плоскости, проходящей перпендикулярно плоскости витка, представляет собою две окружности, соприкасающиеся в точке размещения антенны. В пространстве это две сферы, так же соприкасающиеся в точке размещения самой антенны (рисунок 19.2). Причём линия, проходящая через центры сфер перпендикулярна плоскости рамки. Из этого проистекает, что для обеспечения ориентации антенны по максимуму вектора поля её конструкция должна позволять свободное вращение, в идеале в трёх, но, хотя бы, в двух плоскостях на ± 2¶ радиан.

r-19-2.jpg

И последнее, о чём уже не раз писалось, но нелишне напомнить. Для витка в поле совершенно неважно за счёт сего меняется магнитный поток через него, за счёт изменения направления (или величины) вектора самого поля или за счёт движения витка относительно этого вектора. Сие означает, что любые колебания рамки будут сказываться на показаниях. В том числе и колебания рамки (или проводников в ней) за счёт воздействия акустического (вибрационного) воздействия на неё. То есть, сама рамка может служить классическим электродинамическим микрофоном (виток в магнитном поле земли). И сигналы, «генерируемые» за счёт такого эффекта (а так же за счёт ещё нескольких физических эффектов) невозможно отличить от сигнала, вызываемого аналогичным изменением самого измеряемого вектора поля. Антенны, к сожалению, «микрофонит», порою – весьма и весьма… Такие модели антенн для измерения весьма малых сигналов именно в области НЧ АЭП просто непригодны. Причём ни один из изготовителей типовых измерительных антенн именно такую задачу перед собою не ставит (снижение «микрофонного» эффекта).

О магнитных (рамочных) антеннах, пожалуй, всё.

Для измерения «Е» компоненты, практически без исключений, применяются укороченные (естественно, при длине волны в км!) диполи. И, опять, же, практически без исключений – активные. Иначе при столь малой длине диполей их чувствительность оказывается слишком низкой. И «микрофонят» они, порою, не меньше своих рамочных сестричек….

Направленность диполя, в плоскости такая же, как у рамки (рисунок 19.2), но в трёхмерном представлении это не две сферы, а «бублик», тороид (понятно, что при пересечении плоскостью всё равно получится две окружности). Но тороид размещён в плоскости, перпендикулярной линии осей диполей.

Об антеннах – всё. Перейдём теперь к особенностям измерения.

Прежде всего, отметим, что чаще всего измерения полей в области НЧ приходится выполнять от технических средств, в цепях которых «опасные сигналы» имеют заметную величину. То есть, прежде всего, от ОТСС (ТСПИ). Системы звукоусиления, конференц- и громкоговорящей связи, системы «озвучки» залов, средства мультимедиа, обрабатывающие закрытую информацию. Источниками заметных полей являются, опять же в первую очередь, узлы и блоки с большим сигналом – выходные каскады УНЧ, громкоговорители (колонки), их соединительные линии. Всё сказанное относится как к магнитному, так и к электрическому полю. Очень важно для линий – симметричные они или нет и степень асимметрии, которая всегда имеется у симметричных линий (хотя бы за счёт протекания токов по экранирующей оплётке или просто «по земле). Чем выше симметрия – тем меньше поля рассеяния, то есть наш «любимый» ПЭМИН.

В не очень частых случаях на заметные поля «претендуют» и ВТСС. Например, обыкновенный громкоговоритель (колонка) при замкнутом накоротко («арретированном») входе за счёт акустического воздействия способен развить в звуковой катушке ток, весьма приличной величины, порождающий столь же приличное магнитное поле рассеяния.

Крайне полезно сразу представлять себе от какого именно блока (узла, линии) мы ищем сигнал и как, ориентировочно, может быть направлен вектор поля, следовательно, как именно сориентировать заранее антенну. «Правило Ленца» и «буравчика» держать мысленно «перед глазами» нужно постоянно и активно этим пользоваться (о школьная физика! Как же ты бываешь нужна!!!). Вектор электрического поля, как правило, направлен от проводника, его порождающего (блока, узла) по радиусу, наружу (в сфере, естественно). Максимальные уровни диполь принимает тогда (особенно в ближней зоне), когда ось диполей коллинеарна направлению вектора поля, «вдоль» него.

Измерения усложняет обычная ситуация. В любой точке пространства вблизи ТС регистрируется поле не от одного какого-то «источника», а от нескольких «случайных излучателей», то есть некая суперпозиция полей. Такой эффект чаше всего имеет место по электрическому полю, но если в некой колонке несколько динамических головок прямого излучения, то и по «магнитке» будет то же самое. Может возникнуть и сумма полей от плохо симметрированый подводящей линии и от самой колонки.

В любом случае измерения должны проводится в нескольких точках, размещённых на образующей сферы вокруг исследуемого ТС (узла, блока, устройства ТС), чтобы выявить точку, где упомянутая суперпозиция полей даст наибольший результат. Измеряется всегда «максимум максиморум» из всех результатов, для оценки защищённости именно по максимуму «опасного сигнала». Как видим, общие подходы к СИ и в этой области традиционны.

Подобные измерения (исследования) в соответствии с действующими НМД проводят на тональном сигнале. Точнее, поскольку все ПЭМИН частотнозависимы – на некой «сетке частот» в пределах установленного диапазона. Выбор этой сетки частот обусловлен, прежде всего, результатами предварительных, прикидочных, измерений. То есть настоятельно рекомендуется «прогуляться» вручную по диапазону источником (генератором) тест-сигнала и посмотреть на качественный вид АЧХ ПЭМИ, так сказать на его «спектр». Это особенно удобно выполнять, когда средство измерения, подключённое к антенне, имеет панорамный индикатор и на экране сразу виден весь рабочий диапазон (например, как это выполняется промышленными анализаторами НЧ UP-300, UPL и т.д.). Так же удобно (на самом деле – более удобно) пользоваться специализированными средствами, например «Талис-НЧ-Лайт».

Нелишним будет упомянуть, что если испытываются ОТСС (ТСПИ), то величина тонального тест-сигнала в цепях должна быть максимальной. На любой из рабочего диапазона частот. Во всяком случае – максимальной из предусмотренных установленным режимом эксплуатации изделия (вписывается в Предписание!).

«Картинка» на экране показывает весь спектр или его часть, которая интересует оператора, со всеми помехами. Искомый сигнал, в виде «палки» или «колокольчика» (если смотреть узкий диапазон) обычно хорошо виден и передвигается в соответствии с перестройкой генератора тест-сигнала. Сразу видно, на каких частотах он больше, а на каких меньше.

Особенно удобно, если источник тест-сигнала может работать в качестве генератора «качающейся» частоты (ГКЧ) с заданы периодом (опять же «Талис-НЧ» и его «потомки).

Только не забываем проверять ориентировку антенны, на разных частотах, бывает – она требует коррекции! Таким образом, методом «плавного тона» легко определяются частоты (области частот) в которых уже надо выполнить именно измерения, с точным размещением антенны, её ориентированием, контролем расстояния до излучателя и т.д.

Напомним, что всё вышесказанное кажется несложным, вполне логичным и нормально исполнимым. Но когда «опасный сигнал» почти равен помехам, когда «лезут» наводки по питанию, короче – в реальных условиях, это уже требует творческого отношения к делу.

Есть одна особенность измерений именно в этом диапазоне частот. Где бы мы не измеряли, везде пространство буквально «пропитано» полями с частотой промышленной электросети и её гармоник. Причём уровни этих полей, зачастую на порядка превосходят то, что нужно отыскать и измерить. Обычная «картинка» на экране анализатора спектра выглядит так, как это иллюстрировано рисунком 19.3.

r-19-3.jpg

Что наиболее важное можно вывести из данного «изображения»? Выводов два:

  • Реально хоть что-то измерить можно только «в промежутке» между гармониками электросети;
  • Чтобы получить минимальные погрешности «от сети» измерять нужно возможно более узкой полосой;
  • Без специальных мер подавления хотя бы первых 5-и гармоник сети измерять что-либо в их диапазоне частот, чаще всего, бессмысленно.

Кстати, эти же правила действуют и при исследованиях НЧ АЭП в линиях.

Разумеется, если в анализатор встроен дополнительный адаптивный цифровой фильтр подавления сетевых частот, то «картинка будет смотреться практически идеально («Талис-НЧ-М1»). Но измерять на частотах электросети всё равно нельзя, там же сигнал «давиться».

Именно поэтому обычная «сетка» выглядит так:

275;

327;

425;

475;

….

875;

И т.д. То есть оптимально измерять строго «между» гармониками сети. Кстати, выше 1000 Гц они спадают настолько, что уже, практически, не мешают.

По электрическому полю всё выглядит точно так же, только хуже (в смысле, что помех, в том числе и «от сети» много больше). Для измерений «по Е» особенно важен весьма узкополосный прибор, к тому же умеющий накапливать, усреднять результат по многим реализациям, с «вайвлет» или иными антипомеховыми фильтрами и т.д. Без этого, обычным, «не заточенным» под такие задачи анализатором работать много сложнее.

Есть ещё один приём, в одной из предыдущих публикаций о нём упоминалось, правда, в другой связи. В ряде случаев эффективным оказывается следующее:

«Крутим» антенну, ориентируя её по мнимому помех (в том числе – сетевых). А, затем, начинаем вокруг неподвижной антенны «крутить» изделие (колонку, например) по максимуму сигнала. Такое получалось даже с линией (кабелем). Разумеется, не на объекте (там линия закреплена, как правило), а на стенде, при лабораторных СИ. Удавалось «отыграть» у помех до 20 дБ, а это, порою, принципиально важно!

И последнее, о чём обязан знать «сишник».

При измерениях «Н» компоненты, если её источник – «точечный», то есть его линейные размеры много меньше длины волны – что всегда выполняется, и соизмерим с размерами рамки (лучше – меньше), что выполняется далеко не всегда, то затухание поля с расстоянием до источника достаточно точно следует закону 1/r3. Если это линия, причём длиною в несколько десятком ветров, да ещё и изогнутая – заранее предположить что-то сложно. «Показатель» при «r» может меняться от 2 до 3.

Когда речь идёт об электрической «Е» компоненте всё много сложнее. Практика показывает, что не обращая внимания ни на какую теорию «Е» компонента, с расстоянием (в пределах 3-15 м от «излучателя») затухает пропорционально (в среднем) как 1/r1,5. Реально (измерять и устанавливать реальное затухание – обязательно!!!) значение показателя при «r» колеблется от 1 до 2,5. Случается, что из-за интерференции, переизлучений из нескольких источников (из всяческих проводящих конструкций) с расстоянием сигнал возрастает! Разбираться в каждом таком случае надо индивидуально.

Таким образом, как и в НЧ АЭП, задачи измерителя выявить все максимумы ПЭМИН в рабочем диапазоне частот по обоим компонентам поля и измерить их значения на нормированном расстоянии при ориентации антенны «по максимуму» (на каждой частоте!).

Обычно таких максимумов бывает 3÷15 шт. Если есть группа близких по частоте максимумов с разными амплитудами – измеряется максимальный. Если есть некоторое, достаточно протяжённое по частоте «плато» с постоянным уровнем – измеряют в его начале, середине и конце. При очень длинном «плато» (3-5 кГц) – берут не менее 4-5 точек распределённых равномерно (по частоте).

Все эти рекомендации нигде не записаны, ни в одном НМД. Это результат опыта и не только моего личного, «старшие товарищи» много учили :)

Когда отдельные, существенные максимумы полей измерены их несложно «собрать», вычислить эквивалентное значение сигнала (уже одно число) и для него, в соответствии с установленным экспериментально или принятом законом затухания, рассчитать расстояние, на котором эквивалентный сигнал ослабится ниже нормы. Получаем обычный R2, который и буде однозначно характеризовать наше ОТСС (ТСПИ) или ВТСС.

Собственно, наиболее важное из того, что поджидает «сишника» при измерениях полей в НЧ диапазоне – всё. Потом, «в реале», встретятся десятки и сотни сложностей и «непоняток», но твёрдо помня физику и основы радиотехники разобраться можно во всём. Природа не собирается идти нам навстречу, но она не злонамерена! Знать, уметь и здраво рассуждать – и всё сложится в непротиворечивую, корректную картину измерений и их ожидаемых результатов.

Что и требовалось :)